How To Find The Length Of A Curve Using Calculus - How To Find

Maret School BC Calculus / Thelengthofacurve

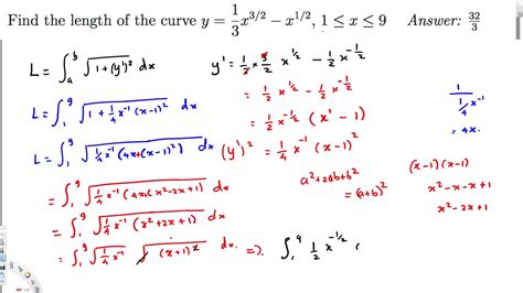
How To Find The Length Of A Curve Using Calculus - How To Find. Let us look at some details. Recall that we can write the vector function into the parametric form, x = f (t) y = g(t) z = h(t) x = f ( t) y = g ( t) z = h ( t) also, recall that with two dimensional parametric curves the arc length is given by, l = ∫ b a √[f ′(t)]2 +[g′(t)]2dt l = ∫ a b [ f ′ ( t)] 2 + [ g ′ ( t)] 2 d t.

Maret School BC Calculus / Thelengthofacurve
Maret School BC Calculus / Thelengthofacurve

Recall that we can write the vector function into the parametric form, x = f (t) y = g(t) z = h(t) x = f ( t) y = g ( t) z = h ( t) also, recall that with two dimensional parametric curves the arc length is given by, l = ∫ b a √[f ′(t)]2 +[g′(t)]2dt l = ∫ a b [ f ′ ( t)] 2 + [ g ′ ( t)] 2 d t. We'll use calculus to find the 'exact' value. So, the integrand looks like: The opposite side is the side opposite to the angle of interest, in this case side a.; L = ∫ − 2 2 1 + ( 2 ⋅ x) 2 d x 4.) But my question is that actually the curve is not having such a triangle the curve is continuously changing according to function, not linearly. We can then approximate the curve by a series of straight lines connecting the points. While finding the length of a curve, we assume an infinitesimal right triangle, of width d x and height d y, so arc length is d x 2 + d y 2. We review their content and use your feedback to keep the quality high. Find more mathematics widgets in wolfram|alpha.

To indicate that the approximate length of the curve is found by adding together all of the lengths of the line segments. To indicate that the approximate length of the curve is found by adding together all of the lengths of the line segments. Integrate as usual, we want to let the slice width become arbitrarily small, and since we have sliced with respect to , we eventually want to integrate with respect to. We can then find the distance between the two points forming these small divisions. By taking the derivative, dy dx = 5x4 6 − 3 10x4. The three sides of the triangle are named as follows: Consequently, if f is a smooth curve and f’ is continuous on the closed interval [a,b], then the length of the curve is found by the following arc length formula: D y d x = 2 ⋅ x 3.) plug lower x limit a, upper x limit b, and d y d x into the arc length formula: Let us look at some details. L = ∫ a b 1 + ( f ′ ( x)) 2 d x. L = ∫ 2 1 √1 + ( dy dx)2 dx.